This website requires JavaScript.
Explore
Help
Sign In
judsonupchurch
/
Numerical-Simulation
Watch
1
Star
0
Fork
0
You've already forked Numerical-Simulation
Code
Issues
Pull Requests
Actions
Packages
Projects
Releases
Wiki
Activity
9fcc5b045c
Numerical-Simulation
/
HW4
/
Images
/
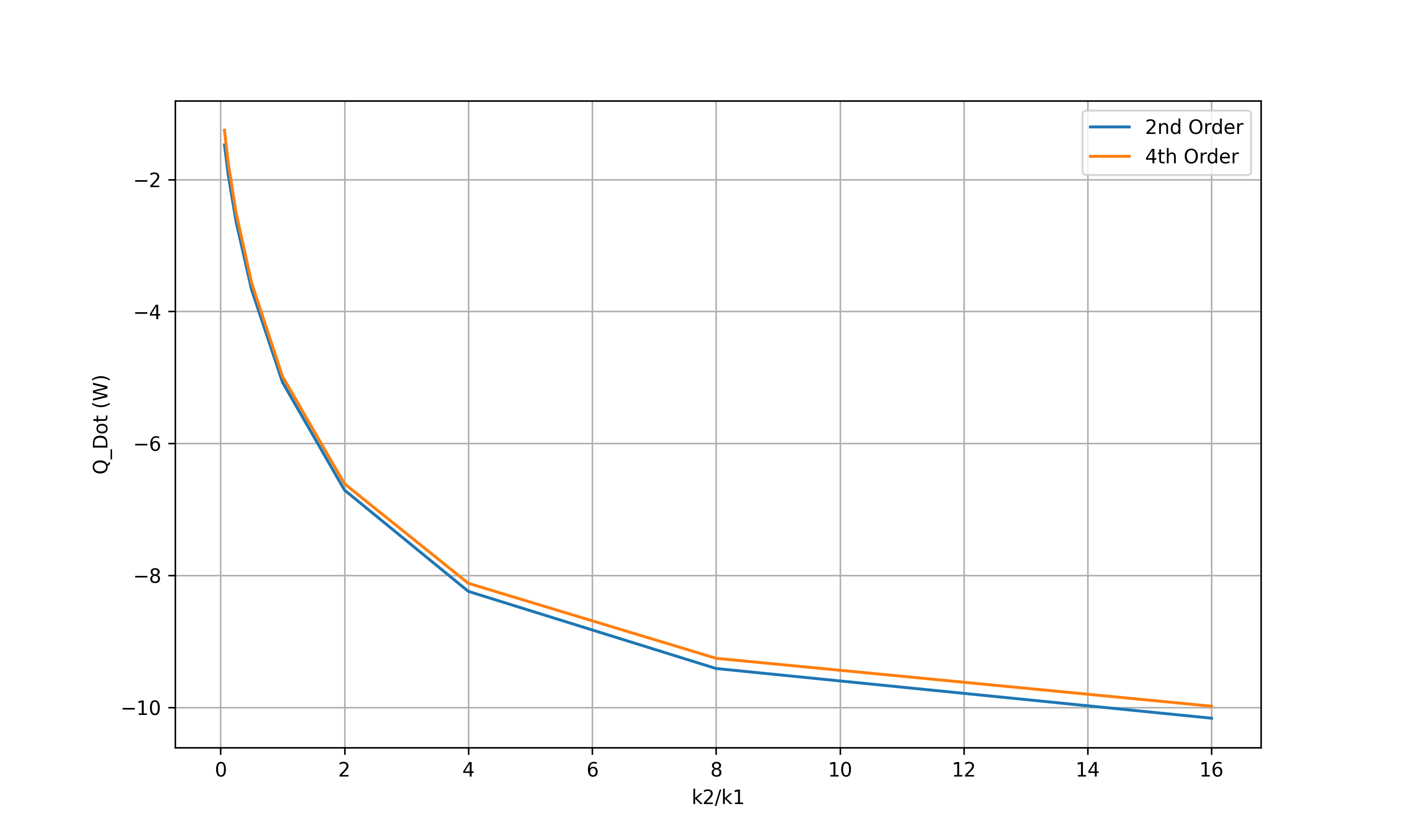
FEM
/
x_bar_2
/
heat_convection.png
judsonupchurch
9fcc5b045c
Add remaining homeworks
2025-01-05 14:44:07 -06:00
125 KiB
3000x1800px
Raw
History